- 定做培养基/定制培养基
- 颗粒培养基
- 标准菌株生化鉴定试剂盒
- 预灌装即用型成品培养基
- 2025年版中国药典
- 促销/特价商品
- 院感/疾控/体外诊断/采样管
- 样品采集与处理(均质)产品
- 按标准检索培养基
- 模拟灌装用培养基
- 干燥粉末培养基
- 培养基添加剂/补充剂
- 生化反应鉴定管
- 染色液等配套产品
- 对照培养基/标准品
- 实验耗材与器具
- 生化试剂/化学试剂
- 菌种鉴定服务
原子吸收分光光度计验证方案
山东拓普生物工程有限公司
Shandong Tuopu Biol-Engineering Co.,Ltd
原子吸收分光光度计验证方案
(编号: )
起 草 人:
部 门:
起草日期: 年 月 日
审 核 人: 、 、
(验证领导小组)
部 门: 、 、
审核日期: 年 月 日
批 准 人:
部 门:
批准日期: 年 月 日
**公司
2012年03月
验证目录
01.验证项目
02.概述
03.验证目的
04.验证条件
05.验证合格标准
06.验证范围
07.验证人员
08.验证内容与方法
09.验证数据分析
10.验证结论与偏差说明
11.再验证
12.验证时间安排
13.附件
1.验证项目
原子吸收分光光度计验证方案
2.概述
2.1原子吸收分光光度计:设备编号:QC-015
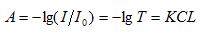
原子吸收分光光度计是根据被测元素的基态原子对特征辐射的吸收程度进行定量分析的仪器,其测量原理是基于光吸收定律:
原子吸收分光光度计是根据质量控制的目的和要求购置的精密仪器,其生产厂为**公司,主要用于样品的铜,铝的分析测试。该仪器由主机、GFA加热系统、ASC自动进样系统、冷却循环水系统、空压机组成。应用软件为WizAArdVer,版号4.10。
2.3技术参数:
型号:AA-6300C
电源电压:220V,50HZ
工作时间:连续
工作环境条件:环境温度:10~35℃
相对温度:20%~80%
电压波动:220V±10%
无影响仪器使用的振动和电磁干扰
生产厂家:**公司。
3.验证目的
按照GMP的要求,需要对该仪器进行安装确认、运行确认、性能确认,以确定目前的实验室环境能否满足该仪器的正常操作和使用,仪器是否具有良好的检测性能,能否满足验证可接受标准和日常分析测试工作的需要。
4.验证条件
4.1验证前必须对设备所用仪表进行校验,且在有效期内。
4.2验证试验过程中所用的去离子水、标准溶液、空白溶液在使用前必须符合规定。
4.3验证试验所用的清洁器具和玻璃容器应按SOP程序清洁并符合要求。
5验证合格标准
5.1仪器外观及工作环境满足要求
5.2波长准确度与波长重复性
5.2.1波长准确度不应超过±0.5nm;
5.2.2波长重复性不应大于0.3nm
5.3分辨率
0.2nm光谱带宽时测量谱线半宽度不应超过0.2nm±0.02nm。
5.4基线稳定性
基线漂移在30min内不应大于0.005Abs
5.5灵敏度
5.5.1火焰法
铜质量浓度2.0μg/ml标准溶液测量的吸光度不应小于0.2000Abs。
5.5.2石墨炉法
铜质量浓度20ng/ml,20μL进样量,标准溶液测量的吸光度不应小于0.08Abs。
5.6检出限
5.6.1火焰法
铜元素检出限不大于质量浓度0.008μg/ml
5.6.2石墨炉法
铜元素检出限不应大于25pg
5.7重复性
5.7.1火焰法
铜元素测量的相对标准偏差不应大于1%
5.7.2石墨炉法
铜元素测量的相对标准偏差不应大于4%
6.验证范围
本方案适用于原子吸收分光光度计的验证
7.验证人员
7.1验证人员职责、分工
7.1.1确认与验证委员会
·负责验证方案的审批;
·负责验证数据及结果的审批;
·负责验证报告的审批;
·负责发放验证证书;
·负责再验证周期的确认。
7.1.2验证工作小组组长
·负责验证方案的制定并组织实施;
·负责收集验证、试验记录,并对结果进行分析,起草验证报告,上报确认与验证委员会。
7.1.3工程设备部:
·负责验证所需仪器、设备的安装、调试及校正;
·负责量具的检验及校正。
7.1.4质量管理部
·负责监督验证的具体实施。
7.1.5质量控制实验室
·负责验证的准备工作;
·负责根据本验证方案的具体实施。
7.2 验证方案实施单位责任人
实施部门
责任人
签名
确认与验证委员会
验证工作小组组长
工程设备部
质量保证室
质量控制实验室
7.3 验证工作小组人员
部门
姓名
部门
姓名
质量控制实验室
质量保证室
质量控制实验室
工程设备部
质量控制实验室
8.验证内容与方法
8.1安装确认
8.1.1文件资料的确认
下列文件资料是否齐全,是否符合要求
序号
文件资料
存放地
1
仪器采购订单
2
原版操作说明书
3
仪器操作SOP
4
仪器维护保养SOP
5
仪器使用记录
6
仪器维护保养、检修记录
结论: 检查人: 日期:
8.1.2售后服务
维修单位:
联系电话:
地址:
传真:
联系人:
结论: 检查人: 日期:
8.1.3关键设备及消耗备品
仪器名称
原子吸收分光光度计
仪器型号
制造厂商
仪器编号
使用科室
质量控制实验室
放置地点
关键设备
设备名称
型号
生产厂家
备品
名称
生产厂家和型号
数量
存放处
结论: 检查人: 日期:
8.1.4安装检查
对照使用说明书要求安装,确认环境、电源等符合要求。
检查内容
要求
方法
结果
外观
所有电镀表面不应有脱皮现象;喷漆表面色泽应均匀,不应有明显的擦伤、露底,裂纹、气泡等现象。
目测
环境
室内不得存放与实验室无关的易燃、易爆和强腐蚀的物质,无强烈的机械振动和电磁干扰。
目测
环境温度
15℃~35℃
温湿度表测
环境相对湿度
35%~75%
温湿度表测
安装位置
仪器应平稳而牢固地安置在工作台上
按要求安装
电源线
与插孔吻合
按要求安装
气体管路
气体管路应适用
按要求安装
冷却水
流量充足、稳定
目测
结论: 检查人: 日期:
8.1.5软件安装情况检查
项目
安装情况检查
安装的软件
文件格式
安装位置
数据文件保存位置
工作站安装
结论: 检查人: 日期:
8.1.6安装确认结论
所有物品与检查清单相符,实验室电、气设计安装合理,实验室环境良好,软件安装正确无误。
结论: 检查人: 日期:
复核人: 日期:
8.2运行确认
8.2.1确认所需的材料
8.2.1.1玻璃仪器
计量玻璃仪器需彻底清洗并经检定,一般玻璃仪器要保证洁净。
8.2.1.2试剂、标准溶液
·标准铜溶液:2.0μg/ml(0.5%硝酸溶液稀释);20ng/ml(0.5%硝酸溶液稀释)
·空白溶液:0.5%硝酸溶液(硝酸为优级纯)
·去离子水
8.2.1.2其他辅助设备
·纯度≥99%的分析用钢瓶乙炔
·纯度≥99.99%的分析用钢瓶氩气
·无油空压机,冷却水源
·空心阴极灯:Hg、Cu
8.2.2软件系统安全性确认
打开计算机开关,待屏幕运行Windows XP操作系统以后,由可以授权操作该仪器的检验员设定登陆用户名、密码,重新启动系统,再让不被受权人员登陆,尝试输入用户名和密码,尝试能否进入计算机系统,连续尝试五次,不知用户名和密码的操作人,应无法登陆计算机系统。
结论: 检查人: 日期:
8.2.3波长准确度与重复性
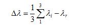
波长测量:按照空心阴极灯规定的灯电流点亮汞灯,稳定后,在光谱带宽0.2nm条件下,从下列谱线253.7nm、365.0nm、435.8nm、546.1nm、724.5nm、871.6nm中选择三条逐一进行单向扫描,以给出最大能量的波长示值作为测量值,然后按照下述公式计算波长准确度与重复性。
波长准确度
按照下式计算
式中:
—波长的标准值;
—波长的测量值。
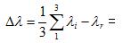
波长重复性
按照下式计算
式中:
—某谱线三次测量值中的最大值;
—某谱线三次测量值中的最小值。
波长准确度及重复性结果
|
波长 次数 |
nm |
nm |
nm |
结论 |
|
第一次 |
|
|
|
— |
|
第二次 |
|
|
|
— |
|
第三次 |
|
|
|
— |
|
准确度计算 |
|
|
||
|
重复性计算 |
|
|
||
结论: 检查人: 日期:
8.2.4分辨率
仪器光谱带宽0.2nm,用汞253.7nm谱线在能量档测量。调节光电倍增管高压,使谱线峰值能量为100%±1%,扫描253.5nm~253.9nm,测量谱线两侧能量为50%时所对应波长值,计算其差值。
分辨率结果

8.2.5基线稳定性检定结论: 检查人: 日期:
选择铜324.8nm谱线,光谱带宽0.2nm,用挡光方法测量仪器的90%响应时间T90,调节T90不大于0.5s。仪器与空心阴极灯同时预热30min。在不点火状态,连续测量30min内的吸光度,基线中心位置读数的最大值与最小值之差,即为基线漂移。
基线漂移按下式计算

结论: 检查人: 日期:
8.2.6灵敏度
8.2.6.1火焰法
选择铜324.8nm谱线,光谱带宽0.2nm,调节T90不大于3s,将仪器其他各项参数调到火焰最佳工作状态,用空白溶液调零后,对标准铜溶液2.0μg/ml连续进行7次吸光度测量,取平均值
8.2.6.2石墨炉法
选择铜324.8nm谱线,光谱带宽0.2nm,调节T90不大于1s,将仪器其他各项参数调到石墨炉最佳工作状态,对空白溶液连续进行7次吸光度测量,取平均值。对标准铜溶液20ng/ml,进样量为10μL,连续进行7次吸光度测量,取平均值,两值之差即为灵敏度。
8.2.7检出限
8.2.7.1火焰法
仪器各项参数同8.2.6.1的工作状态,对空白溶液连续进行7次吸光度测量,按公式(1)计算其标准偏差,根据8.2.6.1测量标准溶液吸光度平均值,按公式(2)计算检出限。
8.2.7.2石墨炉法
仪器各项参数同8.2.6.2的工作状态,测量空白溶液吸光度值,按公式(1)计算其标准偏差,对标准铜溶液20ng/ml,进样量为10μL,连续进行7次吸光度测量,计算平均值,按公式(3)计算检出限。
8.2.8重复性
8.2.8.1火焰法
根据8.2.6.1测量的标准溶液吸光度,按公式(1)进行标准偏差计算,按公式(4)进行相对标准偏差计算。
8.2.8.2石墨炉法
根据8.2.6.2测量的标准溶液吸光度,按公式(1)进行标准偏差计算,按公式(4)进行相对标准偏差计算。
8.2.9灵敏度,检出限,重复性检测结果
|
方法 内容 |
火焰法 |
石墨炉法(进样量为10μL) |
|||
|
检测次数 |
空白吸光度 |
标准溶液吸光度 |
空白吸光度 |
标准溶液吸光度 |
|
|
1 |
|
|
|
|
|
|
2 |
|
|
|
|
|
|
3 |
|
|
|
|
|
|
4 |
|
|
|
|
|
|
5 |
|
|
|
|
|
|
6 |
|
|
|
|
|
|
7 |
|
|
|
|
|
|
平均值 |
|
|
|
|
|
|
灵 敏 度 |
火焰法 |
Abs标准溶液= (应>0.200Abs) |
|||
|
石墨炉法 |
Abs标准溶液= (应>0.040Abs) |
||||
|
检出限 |
火焰法 |
CL= (应<0.008μg/ml) |
|||
|
石墨炉法 |
CL= (应<25pg) |
||||
|
重复性 |
火焰法 |
RSD= (应<1%) |
|||
|
石墨炉法 |
RSD= (应<1%) |
||||
结论: 检查人: 日期:
8.2.10运行确认结论
软件系统,波长准确度,波长重复性,分辨率,基线稳定性。灵敏度,检出限,重复性各项数据准确无误,操作符合标准操作规程,各项均应符合验证标准,
结论: 检查人: 日期:
复核人: 日期:
8.3性能确认
使用供试品确认仪器性能符合使用要求,对公司使用该仪器的不同品种各三批进行检测,以确保仪器满足实验要求。
性能确认检测结果
|
产品名称 |
|
产品批号 |
|
|
产品代码 |
|
检验日期 |
|
|
检验依据 |
|
||
|
检测项目 |
标准规定 |
检验结果 |
|
|
|
|
|
|
|
|
|
|
|
|
|
|
|
|
结论: 检查人: 日期:
8.4采用文件
8.4.1《原子吸收分光光度计标准操作规程》(SOP-ZL1018-02-00)
8.4.2《原子吸收分光光度计维护保养标准操作规程》(SOP-ZL1108-02-00)
8.4.3《使用说明书》
8.4.4《原子吸收分光光度计》(GB/T21187-2007)
9.验证数据分析
仪器工作环境,波长准确度与波长重复性,分辨率,基线稳定性,灵敏度,检出限均重复性,仪器外观应符合验证合格标准。如有少量数据超过上述标准,则应由质量控制实验室、质量管理部共同进行分析,找出不合格原因,修订验证方案,再实施,直至符合验证标准。
10.验证结果与结论(对验证结果的评价和建议)
质量控制实验室部负责收集各项验证、试验结果记录,根据验证、试验结果起草验证报告,报验证委员会。验证委员会负责对验证结果进行综合评审,作出验证结论,发放验证证书,确认原子吸收分光光度计验证周期,对验证结果的评审应包括:
10.1验证试验是否有遗漏?
10.2验证实施过程中对验证方案有无修改?修改原因、依据以及是否经过批准?
10.3验证记录是否完整?
10.4验证试验结果是否符合标准要求?偏差及对偏差的说明是否合理?是否需要进一步补充试验?
11再验证
11.1依据验证结果,确定再验证周期,报验证委员会审批;
11.2如原子吸收分光光度计主要部件更换后,必须进行再验证。
12.验证时间安排
由验证工作小组**等负责实施。
具体时间为
待验证实施结束,写出验证报告,报验证委员会审批。
13.附件
《检验原始记录》


= (应<±0.5nm)
= (应<0.3nm)

